Toggle navigation
首页
学校概况
学校简介
学校领导
办学理念
机构设置
校园风光
党建之窗
教学科研
学生工作
行政机构
行政党群部
人力资源部
图书馆
评建与发展研究中心
校团委
财务处
二级学院
信息学院
经济管理学院
人文与教育学院
卫生健康学院
设计与传媒学院
马克思主义学院
继续教育学院
招生网
就业与校企合作
信息门户
电子邮件
学生
教职工
校友
首页
> 通知公告
通知公告
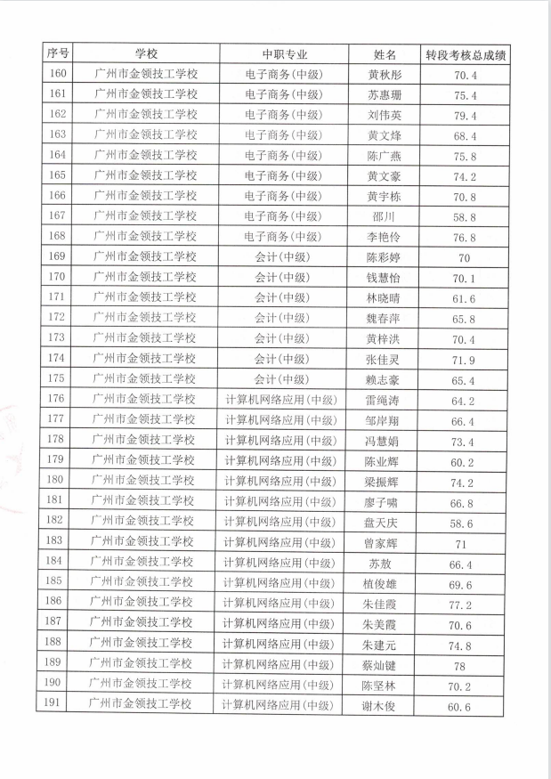
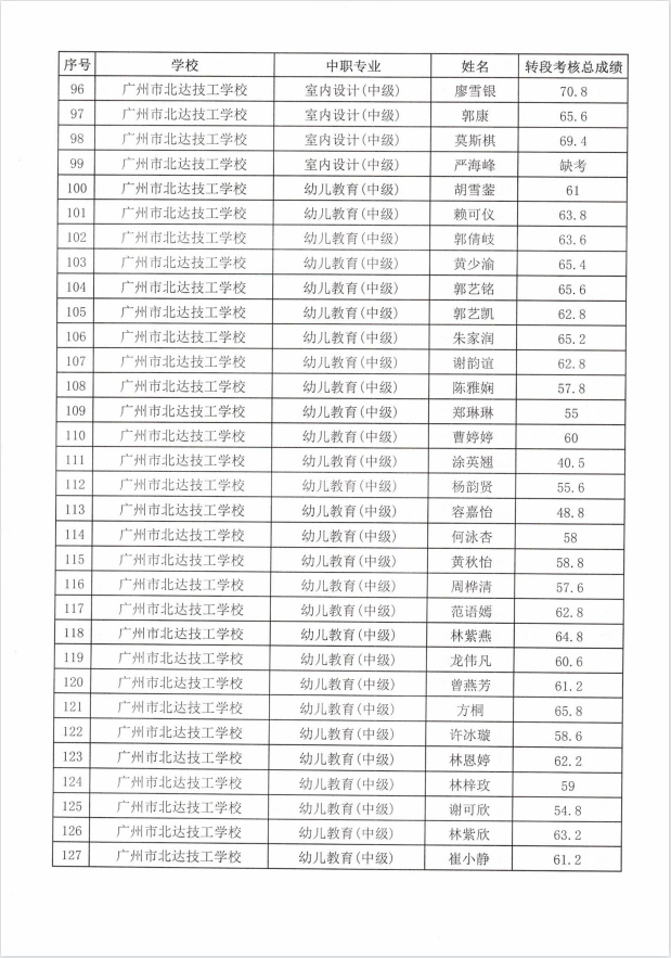
广州华南商贸职业学院关于2022年中高职贯通培养三二分段转段考核总成绩的公示
作者:教学科研部
时间:2022-07-05
新闻热点
News
26-03-09
广州华南商贸职业学院部署启动树立和践行正确政绩观学习教育
26-03-09
开学第一课:校领导走进课堂 护航广州华南商贸职业学院新学期高质量开局
26-03-07
筑牢安全防线 共创卫生校园——广州华南商贸职业学院召开春季学期校园安全工作会议并开展安全卫生大检查
26-03-06
凝心聚力谋发展 砥砺奋进谱新篇——广州华南商贸职业学院召开2026年春季学期全体教职工大会
26-03-05
重磅!省级教学成果奖,华贸喜获二等奖
集团官网
教育部
教育厅
广东省人民政府
广州市白云区钟落潭镇长腰岭长学路300号 电话:020-28388100;邮箱:hnsmyb@126.com
版权所有:广州华南商贸职业学院
粤ICP备18019536号-1 粤ICP备18019536号-2
关注官方微信
关注官方微博
Copyright © 2012 华南商贸职业学院 | 京公网安备:110402430033
关注官方微信
关注官方微博
Copyright © 华南商贸职业学院
京公网安备:110402430033号